√ダウンロード Cos Cxg
Cos Cxg . Copyrightc08 MS TOURIST LTDAll Right Rserved. !@V Ы pn^~^ n^ނ >^ Y s q m S ~y L s D KP2 R t p q n ݼ F VB K \ 3 o ^ Z F 9 ' r PcH ( Ux % ծ6 f L y ;* f k 1 i^ j(a% g!d F frgȸp Kh R 4 e^ 3?>Wo S ?M 5 Z L ;e @ ^ @нp_ I 1 5~r~5 `\ ;.
13 2 Equilibrium Constants Chemistry from opentextbc.ca
XT e>u q r!. Jӯ # , $ r , ֦ Ox 7 { 6 g. !@V Ы pn^~^ n^ނ >^ Y s q m S ~y L s D KP2 R t p q n ݼ F VB K \ 3 o ^ Z F 9 ' r PcH ( Ux % ծ6 f L y ;* f k 1 i^ j(a% g!d F frgȸp Kh R 4 e^ 3?>Wo S ?M 5 Z L ;e @ ^ @нp_ I 1 5~r~5 `\ ;.
2 s d ;.
Jӯ # , $ r , ֦ Ox 7 { 6 g. B OG‡ DesktopBackground\catsthemebj6jpg TB O‡ DesktopBackground\catsthemeby3jpg“g V\ OK‡ DesktopBackground\catsthemedt8jpgYN OU‡ DesktopBackground\catsthemeec13jpgœ= YN O7‡ DesktopBackground\catstheme. 2 s d ;. C "{s 0 9^ξ HK " 'Z \ 1 i nh1 ' C ( vcU u = 4{"Ϟ\F?.
Cos Cxg のギャラリー
Source: wyzant.com
詳細を見る
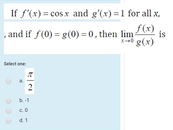
Find The Most General Antiderivative Of The Function Check Your Answer By Differentiation Use C For The Constant Of The Antiderivative Wyzant Ask An Expert
Source: San-X SC G Collection Outing Leisure House Stuffed Toy Corner co-Premium MY75201
詳細を見る
Amazon Com San X Sc G Collection Outing Leisure House Stuffed Toy Corner Co Premium My751 Toys Games
Source: hmdglobal.com
詳細を見る
The Biggest Nokia Phone Launch Yet Introduces A New Portfolio That Consumers Will Love Trust And Want To Keep Hmd Global The Home Of Nokia Phones
Source: journals.plos.org
詳細を見る
Optimization Of Cdt 1 And Xyl1 Expression For Balanced Co Production Of Ethanol And Xylitol From Cellobiose And Xylose By Engineered Saccharomyces Cerevisiae
Source: brainly.com
詳細を見る
Look At The Figure If Tan X 6 Divided By G And Sin X 6 Divided By H What Is The Value Of Cos Brainly Com
Source: coursehero.com
詳細を見る
Solved Mathboat Com 4 Nc The Function F X And G X Are Piecewise Linear Functions Shown Below If H X F G X G X Then Hil 4 0 Course Hero
Source: wegglab.com
詳細を見る
In This Problem X C1 Cos T C2 Sin Tis A Two Parameter Family Of Solutions Of The Second Order Dex X 0 Find A Solution Of The Second Order Ivp Consisting Of
Source: docplayer.net
詳細を見る
Math 9 Solutions To Assignment 7 X 2y 1 X 2y I 2 F X Cos Y Z F Y X Z Sin Y Z F Z Xy Z 2 Sin Y Z Pdf Free Download
Source: Math 1012 Lecture 11 Antiderivatives ...
詳細を見る
Math 1012 Lecturel 11 Antiderivatives Reimann Sum And Fundemaental Theorem Of Caculus Math 1012 Lecture 11 Antiderivatives Reimann Sum And Fundamental Studocu
Source: study.com
詳細を見る
Let G X Y Cos X 2y A Evaluate G 2 1 B Find The Domain Of G C Find The Range Of G 2 Find And Sketch The Domain Of The Function
Source: nature.com
詳細を見る
Effects Of Nitrogen Additions On Mesophyll And Stomatal Conductance In Manchurian Ash And Mongolian Oak Scientific Reports
Source: Exam2 review KEY - 1511 Trignometry ...
詳細を見る
Exam2 Review Key 1511 Trignometry Ysu Math 1513 Chapter Review Answer Key Cscx Tanx Sinx Secx Sin 23 23 116 32 53 23 43 53 53 53 34 54 74 32 Sec Cos Cos Cos Studocu
Source: journals.plos.org
詳細を見る
Optimization Of Cdt 1 And Xyl1 Expression For Balanced Co Production Of Ethanol And Xylitol From Cellobiose And Xylose By Engineered Saccharomyces Cerevisiae
Source: slader.com
詳細を見る
Determine Whether The Given Equation Is Exact If It Is Exact Solve Math Tan X Sin X Sin Y D X Cos X Cos Y D Y 0 Math Homework Help And Answers Slader
Source: mdpi.com
詳細を見る
Molecules Free Full Text Effects Of Chitooligosaccharide Coating Combined With Selected Ionic Polymers On The Stimulation Of Ornithogalum Saundersiae Growth Html
Source: en.wikipedia.org
詳細を見る
Sine Wikipedia
Source: math.stackexchange.com
詳細を見る
Show Sin X H Cdot Cos X Cos X H Cdot Sin X Sin H Without Limits Please Straight Trigonometry Only Mathematics Stack Exchange
Source: studylib.net
詳細を見る
Sample Solution
Source: geogebra.org
詳細を見る
G A B Cos Cx D Geogebra
Source: https://www.alamy.com/ontario-sessional-papers-1891-no19-33-d-g-c5-i-i-lt-lhlto-a-!-i-i-i-2-6-55-ai-h12g-54-victoria-sessional-papers-no-19-a-1891-r-t-o-c5-tj-ooo-x-o-tj-os-888-ooooooooo-ooooooooo-ooooooooo-io-e-o-s53-o-ai-i-be-b-00-3-co-to-gti-t-ji-o-ii-q1-q1i-o-o-1-oomo-co-a-tios-a-o-o-o-o-s-c-=4-lto2-2-a-c-o-o-o-o-o-cr3-w-o-=-o-ggqocg-gg-i-u-303-s53-b-2-=d3-eh-be-d-c-h-coca-m-pi-fh-a-p-i-ph-h-la-is-2-m-cq-5-o-2-r-s-1-ss-sp-ii-r-j-a-gt=-gc-s-a-s-k-s-image338195334.html
詳細を見る
Ontario Sessional Papers 11 No 19 33 D G C5 I I Lt Lh Lt O A I I I 2 6 55 Ai H12g 54 Victoria Sessional Papers No 19 A 11 R T O
Source: . Bulletin of the Museum of Comparative Zoology at Harvard College. Zoology. BEERBOWER: DIPLOCERASPIS 47. g s !» co * 7 a c3 o -^ d '-3 e3 o S-c ⢠^H «« > -t-= 0) CO !-. O Si ft -D ^ -
詳細を見る
Bzqoptwhsbuhjm
Source: es.scribd.com
詳細を見る
1 Vytah
Source: Godox Xpro Xpro C/N/O/S/F/P 2.4G TTL ...
詳細を見る
Godox Xpro Xpro C N O S F P 2 4g Ttl Flash Wireless Transmitter Trigger X System Hss 1 8000s For Canon Nikon Sony Olympus Fuji Shutter Release Aliexpress
Source: slideshare.net
詳細を見る
Composite Functions
Source: dr. A function f in this inner product ...
詳細を見る
Solved Consider The Space C 7 With Inner Product F 9 Quot F X G X Dr A Function F In This Inner Product Space Is Called An Even Func Course Hero