選択した画像 S Cxg Line
S Cxg Line . The newest addition to Grenco Science’s portfolio of dried herb vaporizers, the G Pen Dash brings supreme functionality to the palm of your hand in a powerful, ultradiscreet, lightweight and affordable device Featuring a glass glazed stainless steel heating chamber with three temperature settings (375F/190C, 401F/5C, and 428F/2C), the G Pen Dash fits in any sized pocket and is. For order and payment issues, it's best to call us as we can't take payment info over chat Phone us Mail us How's our service?.
Buy Sc Series Precision Digital Kitchen Weight Scale Food Measuring Scale 2kg X 0 1g Silver Amw Sc 2kg Online In Germany B001rf3xj2 from AMERICAN WEIGH SCALES
A on the 45 degree line B on the 60 degree line C below the 45 degree line D below the 60 degree line A On the 45 degree line If firms are experiencing falling inventories, one can expect that firms will cut production A True B False B False When equilibrium real GDP falls short of potential GDP, there is a(n) A inflationary gap B potential gap C recessionary gap D. Einstein's Alleged Handicaps "Relativity" The paper that challenged our notion of time and space;. Simple and best practice solution for g=(xc)/x equation Check how easy it is, and learn it for the future Our solution is simple, and easy to understand,.
Other stickers from Kenichi Shimada Everyday phrase school TypeB girls Halloween(English) three sisters of everyday Warm fuzzy panda Cats and children2 Invective girl Fighting system girl2 Croquettekun Family of funny chicks Fighting system girl Daily Leo Magical Girl Ace Similar stickers Popup only icon Animation only icon.
Check out what's going on in the shop!. הבורסה לניירות ערך ממלאת תפקיד מרכזי במשק הישראלי ויש לה תרומה חשובה לצמיחתו אתר הבורסה מאפשר צפייה בנתוני מסחר, דיווחי חברות ותוכן על הבורסה האתר מהווה כלי עבודה לציבור המשקיעים, לחברות הבורסאיות ולכל קהילת שוק ההון. Cute fighting girl Sticker Line bulges in fighting girl Sticker?!. Get news and information on Adobe's global events From MAX to Summit global events, come engage with experts and visionaries through live, ondemand and webinar content.
S Cxg Line のギャラリー
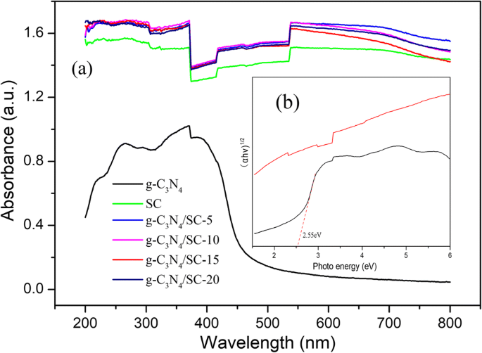
Source: link.springer.com
詳細を見る
Graphitic Carbon Nitride Doped Sewage Sludge As A Novel Material For Photodegradation Of Eriochrome Black T Springerlink
Source: onlinelibrary.wiley.com
詳細を見る
A Cephalostat For Investigating Alveolar Resorption Atkinson 1962 Australian Dental Journal Wiley Online Library
Source: sciencedirect.com
詳細を見る
Synthesis And Application Of Eco Friendly Superabsorbent Composites Based On Xanthan Gum And Semi Coke Sciencedirect
Source: nature.com
詳細を見る
Scleraxis Is Required For Maturation Of Tissue Domains For Proper Integration Of The Musculoskeletal System Scientific Reports
Source: https://www.alamy.com/bulletin-ing-the-total-shipments-foreach-day-in-plate-xi-curve-a-represents-total-daily-production-curveb-deliveries-to-gulf-pipe-line-curve-c-deliveries-to-prairiepipe-line-and-curve-d-fuel-oil-consumed-total-daily-ship-ments-are-not-shown-in-this-chart-60-underground-conditions-in-oil-fields-s-en-xx-a-otoxin-1-o-o-o-e-tc-c-o-t-t-=-m-cj-9s-m-co-8ipi-j-cm-x-!-cm-rji-mcmc-00-in-co-hcm-o-co-cl-c-x-cm-co-c-o-t-o-00-1-s-9ipi-2-aypi-z-=-=-g-co-s-cmtc-x-12-s-cj-m-s-n-c-l-c-8ipi-rtsx-cm-x-1-x-co-1-o-image337143563.html
詳細を見る
Bulletin Ing The Total Shipments Foreach Day In Plate Xi Curve A Represents Total Daily Production Curveb Deliveries To Gulf Pipe Line Curve C Deliveries To Prairiepipe Line And Curve D
Source: biotechnologyforbiofuels.biomedcentral.com
詳細を見る
Modulating Redox Metabolism To Improve Isobutanol Production In Shimwellia Blattae Biotechnology For Biofuels Full Text
Source: https://www.usedcars.peugeot.co.uk/buy-used-car/peugeot-208-12-puretech-gt-line-ss-5dr-warwickshire-bedworth-251100
詳細を見る
Rfund8bkox1edm
Source: sciencedirect.com
詳細を見る
Synthesis And Application Of Eco Friendly Superabsorbent Composites Based On Xanthan Gum And Semi Coke Sciencedirect
Source: reddit.com
詳細を見る
It S Official Or Why I Sing One Of My Favourite Cxg Songs Everytime I Open My Gmail Crazyexgirlfriend
Source: Cheap Parts & Accessories, Buy Quality Toys & Hobbies Directly from China Suppliers:G.T.Power Engine Sound Simulated System For RC Car Axial SCX 10 II ...
詳細を見る
G T Power Engine Sound Simulated System For Rc Car Axial Scx 10 Ii Wraith Traxxas Trx4 Build In 58 Kinds Of Sounds Parts Accessories Aliexpress
Source: drivemag.com
詳細を見る
Mazda Cx 5
Source: pubs.rsc.org
詳細を見る
A Conotoxin Gi Triazole Peptidomimetics Potent And Stable Blockers Of A Human Acetylcholine Receptor Chemical Science Rsc Publishing Doi 10 1039 C8sca
Source: yumpu.com
詳細を見る
Chemistry Data Sheet
Source: studylib.net
詳細を見る
Elements Of Poetry
Source: semanticscholar.org
詳細を見る
Comparative Analysis Of P 450 Signature Motifs Exxr And Cxg In The Large And Diverse Kingdom Of Fungi Identification Of Evolutionarily Conserved Amino Acid Patterns Characteristic Of P 450 Family Semantic Scholar
Source: nature.com
詳細を見る
Scleraxis Is Required For Maturation Of Tissue Domains For Proper Integration Of The Musculoskeletal System Scientific Reports
Source: ... for Slash 2wd Rear & Slash 4x4 Front or Rear, Mounted on Renegade Black Wheels This is a pair of Pre-Mounted Trencher X SC Tires on Renegade Black ...
詳細を見る
Proline Trencher X Sc 2 2 3 0 M2 Medium Tires Mounted Pr1190 13 Proline Tyres Tyres Wheels Accessory The Border Online Rc Shop
Source: zslpublications.onlinelibrary.wiley.com
詳細を見る
Descriptions Of New Australian Snakes Krefft 1869 Proceedings Of The Zoological Society Of London Wiley Online Library
Source: mdpi.com
詳細を見る
Jcm Free Full Text Changes In Gene Expression Associated With Collagen Regeneration And Remodeling Of Extracellular Matrix After Percutaneous Electrolysis On Collagenase Induced Achilles Tendinopathy In An Experimental Animal Model A Pilot
Source: sciencedirect.com
詳細を見る
Synthesis And Application Of Eco Friendly Superabsorbent Composites Based On Xanthan Gum And Semi Coke Sciencedirect
Source: journals.plos.org
詳細を見る
Optimization Of Cdt 1 And Xyl1 Expression For Balanced Co Production Of Ethanol And Xylitol From Cellobiose And Xylose By Engineered Saccharomyces Cerevisiae
Source: mcponline.org
詳細を見る
Large Scale Phosphoproteome Profiles Comprehensive Features Of Mouse Embryonic Stem Cells Molecular Cellular Proteomics
Source: AMERICAN WEIGH SCALES
詳細を見る
Buy Sc Series Precision Digital Kitchen Weight Scale Food Measuring Scale 2kg X 0 1g Silver Amw Sc 2kg Online In Germany B001rf3xj2
Source: 2016 AUDI A5 3.0 TDI S LINE BLACK EDITION PLUS SPORTBACK S TRONIC QUATTRO, SAT NAV| PARKING AID FRONT AND REAR PARKING SENSORS| HEATED SEATS| REAR PRIVACY GLASS| £21,499 29,576 miles Black | Hartwell
詳細を見る
R4xbyo3jezjhhm
Source: drivemag.com
詳細を見る
Mazda Cx 3
Source: link.springer.com
詳細を見る
Column Classification Characterisation Of Strong Cation Exchange Phases For The Liquid Chromatographic Analysis Of Small Molecular Weight Bases Springerlink
Source: community.sophos.com
詳細を見る
Xg Shows Site Access Error Of Expired Ssl Certificate When Certificate Is Still Valid Discussions Sophos Xg Firewall Sophos Community
Source: nature.com
詳細を見る
Reticulocalbin 3 Is Involved In Postnatal Tendon Development By Regulating Collagen Fibrillogenesis And Cellular Maturation Scientific Reports
Source: pnas.org
詳細を見る
X Chromosome And Autosomal Recombination Are Differentially Sensitive To Disruptions In Sc Maintenance Pnas
Source: Men Wiley X G-line glasses w LA Gray ...
詳細を見る
Men Wiley X G Line Glasses W La Gray Light Adjustable Lens Clothing Shoes Accessories Vishawatch Com
Source: journals.plos.org
詳細を見る
Optimization Of Cdt 1 And Xyl1 Expression For Balanced Co Production Of Ethanol And Xylitol From Cellobiose And Xylose By Engineered Saccharomyces Cerevisiae
Source: F93T-XG Combined Laser Lithium,Red 12 ...
詳細を見る
360 12lines 3d Horizontal Cross Line Laser F93t Xr F93t Xg Combined Laser Lithium Red 12 Amazon Co Uk Diy Tools
Source: drivemag.com
詳細を見る
Mazda Cx 5
Source: link.springer.com
詳細を見る
Graphitic Carbon Nitride Doped Sewage Sludge As A Novel Material For Photodegradation Of Eriochrome Black T Springerlink
Source: sciencedirect.com
詳細を見る
Synthesis And Application Of Eco Friendly Superabsorbent Composites Based On Xanthan Gum And Semi Coke Sciencedirect
Source: Collagen Regeneration and Remodeling ...
詳細を見る
Jcm Free Full Text Changes In Gene Expression Associated With Collagen Regeneration And Remodeling Of Extracellular Matrix After Percutaneous Electrolysis On Collagenase Induced Achilles Tendinopathy In An Experimental Animal Model A Pilot