無料ダウンロード Hocn Ae
Hocn Ae . Feb 01, 18 · Theoretical and Empirical Descriptions of Thermospheric Density NASA Astrophysics Data System (ADS) Solomon, S C;. Nov 25, 12 · The main identifying factor is The Peptide Bond In this Bond the CCCC chain is interrupted by Nitrogen as in CCNCCNCCNC All amino acids have the same 3 components from the C.
Dobutsugaku Zasshi Zoology Zoology 7 Quot 5 A Aaa C Eªea C C A Ee Aeae A Ae Aae A C A A Thomas O Lroct 1919 Atlie Kjethoci Or P P Ttie Incisive Index M Rodents Iia 11d Mag Bi Ji Llonclon Ffit Ll Ser Vol 4 A No 22 F J Gt Ss9a29a from https://www.alamy.com/dobutsugaku-zasshi-zoology-zoology-7quot5-thomas-olroct-1919tlie-kjethoci-or-pp-ttie-incisive-index-m-rodentsiia11d-mag-bi-ji-llonclon-ffit-ll-ser-vol-4no-22-f-jgt-ss929-thomas-1918-ann-mag-n-h-9-ser-vcsi1p-35-ipldodonti-or-crtbodontpittlo-dont-image231380958.html
$åÄ®FR†ãÆu ÑØrÓ7 X‘¨A€ @ÉzË zŒæ ¹IOÒ%%ùO$Rü. PK âB¸Roa«, mimetypeapplication/epubzipPK âB¸R EPUB/packageopf¥–_rÛ6 Ư‚áS;. Feb 01, 18 · Theoretical and Empirical Descriptions of Thermospheric Density NASA Astrophysics Data System (ADS) Solomon, S C;.
Ç Ï Ï b26 ò.
ó®üì0 72 c4 e6 !«8 g 4 Õ > Þ5 @ ç6 b ïì d øô f ø h ) j z l Ù n p r t $. . Our videos will help you understand concepts, solve your homework, and do great on your exams. ó®üì0 72 c4 e6 !«8 g 4 Õ > Þ5 @ ç6 b ïì d øô f ø h ) j z l Ù n p r t $.
Hocn Ae のギャラリー
Source: https://www.alamy.com/licenses-and-pricing/?v=1
詳細を見る
Dai Xie Tang Dai Xie Ji Qi Tiao Kong Yu He Suan Dai Xie Botany 1 A Ec C Ae E Caaea A E Ce C Eºa A Ae E A Cc E Ai C E Ae Eac Ma Eºµ1a 7 ae I A 4 2i A N A C C C Me Ee Aeºµc C E A e A ºa E E An A Ece C Eºa Cho Acnhch Hoch
Source: es.slideshare.net
詳細を見る
Word Achivos En Caja
Source: Ojoo (1)
詳細を見る
Ojoo 1
Source: 9Zvo-FLb3L6SBM
詳細を見る
Ascii Code
Source: frontiersin.org
詳細を見る
Frontiers Phytochemicals Potential Therapeutic Interventions Against Coronavirus Associated Lung Injury Pharmacology
Source: mdpi.com
詳細を見る
Molecules Free Full Text Glycopeptides And Mimetics To Detect Monitor And Inhibit Bacterial And Viral Infections Recent Advances And Perspectives Html
Source: mdpi.com
詳細を見る
Materials Free Full Text Antimicrobial Activity Of Hybrids Terpolymers Based On Magnetite Hydrogel Nanocomposites Html
Source: asa.scitation.org
詳細を見る
The Articulatory Dynamics Of Pre Velar And Pre Nasal Ae Raising In English An Ultrasound Study The Journal Of The Acoustical Society Of America Vol 142 No 1
Source: nap.edu
詳細を見る
Text Chinese Version English Chinese Chinese English Nuclear Security Glossary The National Academies Press
Source: PDF) Calibration method and experiments ...
詳細を見る
Pdf Calibration Method And Experiments Of Multi Camera S Parameters Based On Freely Moving One Dimensional Calibration Object
Source: https://www.alamy.com/dan-bai-zhi-fen-zi-ji-chu-botany-7-3-ch24nhn-a-nhi-1-0-cch-cch-2-nco-3-0-hn-c-nhj-0-ii-chnhcch-ii-hoocch-o-chjnhcnhj-nh2-i-chjnhcnhj-cho-chj3nhc-nh2-cooh-chsh-nhc-ch23n=c-nhc-h-c-0-ch2-chj-chnhc-chc-c-nhr-o-c-nhr-c-0-ch-2-ox-h-cz-gtc-1-rn=c=nrlt-2ii-n-5-image231790936.html
詳細を見る
Dan Bai Zhi Fen Zi Ji Chu Botany E 7 3ec E A Ae Aºe A E Caa A E Ae Aºe A E Aec E A A E A C A E Eµae E A Ch2 4anh An Ae C A Nhi 1 E E I 0 Cach Cach E C Ae E I 2 Ae E Ci Nco
Source: link.springer.com
詳細を見る
Seedling Drought Tolerance And Functional Traits Vary In Response To The Timing Of Water Availability In A Keystone Hawaiian Tree Species Springerlink
Source: nap.edu
詳細を見る
Text Chinese Version English Chinese Chinese English Nuclear Security Glossary The National Academies Press
Source: frontiersin.org
詳細を見る
Frontiers A Systematic Review Of Metabolic Heat In Sea Turtle Nests And Methods To Model Its Impact On Hatching Success Ecology And Evolution
Source: onlinelibrary.wiley.com
詳細を見る
A Hierarchical Carbon Derived From Sponge Templated Activation Of Graphene Oxide For High Performance Supercapacitor Electrodes Xu 16 Advanced Materials Wiley Online Library
Source: Surface‐Active Ionic Liquids ...
詳細を見る
Morphological And Interaction Characteristics Of Surface Active Ionic Liquids And Palmitic Acid In Mixed Monolayers Eftaiha Chemphyschem Wiley Online Library
Source: nap.edu
詳細を見る
Text Chinese Version English Chinese Chinese English Nuclear Security Glossary The National Academies Press
Source: https://www.alamy.com/dobutsugaku-zasshi-zoology-zoology-7quot5-thomas-olroct-1919tlie-kjethoci-or-pp-ttie-incisive-index-m-rodentsiia11d-mag-bi-ji-llonclon-ffit-ll-ser-vol-4no-22-f-jgt-ss929-thomas-1918-ann-mag-n-h-9-ser-vcsi1p-35-ipldodonti-or-crtbodontpittlo-dont-image231380958.html
詳細を見る
Dobutsugaku Zasshi Zoology Zoology 7 Quot 5 A a C Eªea C C A Ee Aeae A Ae e A C A A Thomas O Lroct 1919 Atlie Kjethoci Or P P Ttie Incisive Index M Rodents Iia 11d Mag Bi Ji Llonclon Ffit Ll Ser Vol 4 A No 22 F J Gt Ss9a29a
Source: nature.com
詳細を見る
Evidences For Cooperative Resonance Assisted Hydrogen Bonds In Protein Secondary Structure Analogs Scientific Reports
Source: https://www.alamy.com/dan-bai-zhi-fen-zi-ji-chu-botany-10-n-cho-ch2nh-1-oh-i-ciiop=-o-n-n-h0-hc-ho-ch2-0-p=0-0h-cho-rchcooh-nh2-rccoon-ii-o-ho-o-ii-h2o-poh-oh-hjc-chnh2-o-hoj-ch2o-p-oh-cquot-oh-r2chcooh-r2ccooh-ii-o-nh-s3ri-chcoon-nh2-nh-n-i-cii3-o-o-i-11-ii-c-=-c-ch-ch2-opo-p-oh-i-i-1-c-s-oh-oh-h-4-n3-h-h3c-image216157737.html
詳細を見る
Dan Bai Zhi Fen Zi Ji Chu Botany 10 C E A Aeac E A Na Eº E Ae E A E Ae E e Aºe E E E Ce E I A Ec E A E A Aeaaee Caea I A C Aea A A Cho Ch2nh 1 Oh I Cii Oap O N N A E Ae Aºe C A I C E A Eaee A Aeºa A ºe A E
Source: en.wiktionary.org
詳細を見る
C Wiktionary
Source: academia.edu
詳細を見る
Pdf A Dictionary Of Kashmiri Proverbs A Dictionary Of Kashmiri Proverbs A Dictionary Of Kashmiri Proverbs Andrea A L V A R E S Da Cunha Academia Edu
Source: bmcplantbiol.biomedcentral.com
詳細を見る
Context Of Action Of Proline Dehydrogenase Prodh In The Hypersensitive Response Of Arabidopsis Bmc Plant Biology Full Text
Source: mdpi.com
詳細を見る
Life Free Full Text Monosaccharides And Their Derivatives In Carbonaceous Meteorites A Scenario For Their Synthesis And Onset Of Enantiomeric Excesses Html
Source: en.wiktionary.org
詳細を見る
H Wiktionary
Source: nature.com
詳細を見る
Evidences For Cooperative Resonance Assisted Hydrogen Bonds In Protein Secondary Structure Analogs Scientific Reports
Source: sciencedirect.com
詳細を見る
Preparation Of A Novel Lignin Based Film With High Solid Content And Its Physicochemical Characteristics Sciencedirect
Source: nature.com
詳細を見る
Evidences For Cooperative Resonance Assisted Hydrogen Bonds In Protein Secondary Structure Analogs Scientific Reports
Source: en.wikipedia.org
詳細を見る
Iso Iec 59 1 Wikipedia
Source: nature.com
詳細を見る
Evidences For Cooperative Resonance Assisted Hydrogen Bonds In Protein Secondary Structure Analogs Scientific Reports
Source: BLAH BLAH BLAH
詳細を見る
Blah Blah Blah
Source: A. Write condensed formulae and bond ...
詳細を見る
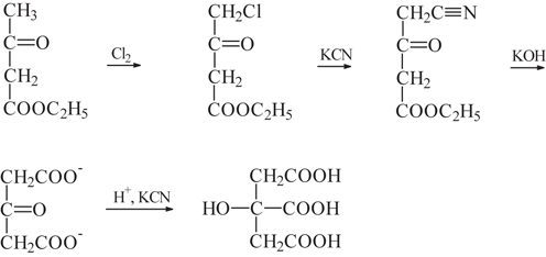
1 Answer The Following A Write Condensed Formulae And Bond Line Formulae For The Following Structures
Source: C - Wikipedia
詳細を見る
C Wikipedia
Source: mdpi.com
詳細を見る
Materials Free Full Text Antimicrobial Activity Of Hybrids Terpolymers Based On Magnetite Hydrogel Nanocomposites Html
Source: ESA Journals - Wiley
詳細を見る
The Application Of Ecological Stoichiometry To Plant Microbial Soil Organic Matter Transformations Zechmeister Boltenstern 15 Ecological Monographs Wiley Online Library
Source: clinexprheumatol.org
詳細を見る
In Press Future Contents
Source:
詳細を見る
Radical Functionalization Of Remote C Sp3 H Bonds Mediated By Unprotected Alcohols And Amides Ccs Chemistry
Source: mdpi.com
詳細を見る
Molecules Free Full Text Synthesis And Antifungal Potential Of Some Novel Benzimidazole 1 3 4 Oxadiazole Compounds Html
Source: wps.prenhall.com
詳細を見る
Chapter 25 Section 7
Source: ipachart.com
詳細を見る
Ipa Chart
Source: en.wiktionary.org
詳細を見る
H Wiktionary
Source: nature.com
詳細を見る
Evidences For Cooperative Resonance Assisted Hydrogen Bonds In Protein Secondary Structure Analogs Scientific Reports
Source: Poster Presentations - 2019 - Haemophilia - Wiley Online Library
詳細を見る
Fh2yaojil1 66m